top
East Bay
East Bay
Indybay
Indybay
Indybay
Regions
Indybay Regions North Coast Central Valley North Bay East Bay South Bay San Francisco Peninsula Santa Cruz IMC - Independent Media Center for the Monterey Bay Area North Coast Central Valley North Bay East Bay South Bay San Francisco Peninsula Santa Cruz IMC - Independent Media Center for the Monterey Bay Area California United States International Americas Haiti Iraq Palestine Afghanistan
Topics
Newswire
Features
From the Open-Publishing Calendar
From the Open-Publishing Newswire
Indybay Feature

BART Going Forward with Seriously Flawed Police Oversight Plan Created Behind Closed Doors

by dave id
BART held a forum on July 30th to seek public input on their near-final draft of a new model for police oversight (attached below). From the very beginning, though, BART has staged public forums and meetings purportedly to solicit feedback from the community it serves yet all the while BART has consistently done everything it can to keep the police oversight model it has largely crafted behind closed doors as unaccountable to the public as possible. This has been clear from their first attempt to foist an auditor model on the public to their latest plan that bizarrely gives a seat on a supposed "citizen" oversight board to a BART police representative. There is still time to protest BART's flawed plan, but time is running out as BART is attempting to close the door to the public as fast as they can, self-satisfied that they have done the bare minimum to keep a frustrated and wary justice for Oscar Grant movement at bay.
In addition to demands that officers on the platform when Oscar Grant was murdered be held accountable by BART and the Alameda District attorney, since January the community has demanded that BART police be disbanded entirely or, at the very least, be seriously reformed into a more transparent and publicly accountable force. BART relented by creating the BART Police Review Committee made up of several BART Board members, General Manager Dorothy Dugger, and a former Berkeley police officer as a consultant. After months of seeing no obvious progress on BART's part toward reforming its police force, California legislators created bill AB312, which would impose a strong civilian police oversight model on BART. BART fought against the bill and assured legislators that they were moving toward accountability and transparency on their own.

The BART Police Review Committee then created a subcommittee tasked with outlining a new model for police oversight at BART. Despite the clear preference of the community for a civilian board model of oversight, BART drafted an auditor model with a civilian component that had no power whatsoever. Acknowledging that the "independent" auditor model would be completely unacceptable to the public, BART's police oversight subcommittee, which was stacked against real reform by including four current and former police officers, along with police ally Dugger, created two alternate models that included strengthened roles for civilians. While the subcommittee meetings were semi-public, as they were held during business hours when most working people cannot attend, the meetings did include significant time for public comment towards shaping the direction of oversight discussions. And despite BART police unions' and Dugger's objections, in a straw poll of subcommittee members one former officer sided with the majority towards the strongest of the three draft models being discussed.

Then something strange happened at the very next meeting. While he was not even on the subcommittee and had not attended previous subcommittee meetings, Board Director Joel Keller presented his own plan inexplicably created outside of the semi-public subcommittee process. It is not clear where the idea for the 2/3 supermajority requirements came from, but apparently knowing that the supermajority requirements would stifle the ability of the civilian board and BART Board to overrule the police chief and general manager on police discipline issues, the BART police unions finally began to support a "citizen" board model when they had previously voted against such models. Obviously Keller's plan did not appear out of a vacuum and likely was the result of behind the scene discussions with BART police, if not General Manager Dorothy Dugger, Police Chief Gary Gee, and others. Furthermore, it remains an open question as to whether BART's two police unions were promised that in later drafts there would be a slot for them on the eventual "civilian" board in return for their support (support that was not even needed given the earlier straw poll majority's preference for a strong civilian board). Regardless, given the mysterious appearance of Keller's model for police oversight, there can be no doubt that machinations have been occurring out of public view and the work of the subcommittee, in effect, was largely for show.

The subcommittee moved their last two semi-public meetings from Mondays to Wednesdays (on short notice thereby guaranteeing an even smaller public turnout) and has not held a meeting since. Last week, BART held its third truly public meeting to present the latest, near-final police oversight draft which includes the disempowering supermajority requirements and a seat for BART police on the "citizen" board, amongst other problematic features. There appear to be only two opportunities left for the public to tell BART that the direction they are heading in is unacceptable: 1) via email by this Friday, and 2) at the police oversight subcommittee meeting this coming Monday. Attend the meeting if you can, or at least send an email. From there, the fight for accountability (or the disbanding of the BART police) will move to the state legislature.

========================================================

TELL BART WHAT YOU THINK OF THEIR FLAWED "CITIZEN" OVERSIGHT MODEL BY AUGUST 7th

The BART Board of Directors are accepting comments on the latest police oversight draft (attached below) through Friday, August 7, 2009. Ask then why they've chosen to tie their own hands with a supermajority requirement and why they think it's acceptable for BART police to have a representative on a so-called "citizen" oversight board. Send your comments to:

boardofdirectors [at] bart.gov

* Also ask them why Meyers Nave has yet to complete their report, originally due in May, on the events surrounding the murder of Oscar Grant on January 1st. Meyers Nave has been paid $250,000 for their services. It is unknown what information from this report will ever be released to the public.

========================================================

LAST CHANCE FOR PUBLIC COMMENT AUGUST 10th??

Police Department Review Committee and Subcommittee to meet August 10

The BART Police Department Review Committee and Subcommittee will meet on Monday, August 10, 2009, at 10:00 a.m.to consider the public comments submitted on the draft citizen oversight model of the BART Police Department.

The meeting will be held in the BART Board Room, which is located in the Kaiser Center 20th Street Mall, Third Floor, 344 20th St., Oakland, CA

========================================================

TELL AMMIANO THAT BART'S PLAN IS INADEQUATE

California Assemblymember Tom Ammiano has been skeptical of BART's ability to reform itself from the beginning. Tell him not to accept BART's police oversight plan as they have written it. The state legislature must pass legislation in order to establish any BART police oversight and therefore the legislature will be the last stand on the matter for police accountability activists. Statewide police unions will push hard against any effective and transparent civilian oversight as they did on April 14th when AB312 was last before the Assembly's Public Safety Committee. It will be up to the public to assert enough pressure on assemblymembers to do the right thing despite police intimidation.

email Tom Ammiano: http://legplcms01.lc.ca.gov/PublicLCMS/ContactPopup.aspx?district=AD13&
(AB312 was pending oversight-related bill to impose oversight rather than let BART write it)

Capitol Office:
State Capitol
P.O. Box 942849
Sacramento, CA 94249-0013
Tel: (916) 319-2013
Fax: (916) 319-2113

District Office:
455 Golden Gate Avenue,
Suite 14300
San Francisco, CA 94102
Phone (415) 557-3013
Fax (415) 557-3015

* Also contact other Public Safety Committee members.

========================================================

RECENT RELATED BART NEWS

BART Chooses Oversight Model & Ties Board's Hands with Supermajority, 6/15/09: pdf & audio
http://www.indybay.org/newsitems/2009/06/17/18602165.php

NOBLE requesting public take survey on performance of BART police
http://www.indybay.org/newsitems/2009/07/13/18607600.php

No Justice No BART Takes the Truth to the Trains:
No Justice No BART Informs Public About Officer Pirone's Racism and Chief Gee's Defense of BART Officers
http://www.indybay.org/newsitems/2009/07/21/18611968.php

640___bartdirectorsanddistricts.jpg
(click image for larger version)


Ask the BART Board of Directors if they think it’s professional and BART policy for police officers to use language like “bitch ass ni**er,” throw unarmed commuters around by their hair, point tasers at trains full of people, and lie in court about it. Ask them if they think Chief Gee is doing a good job when he says behavior like that is professional and BART policy. Ask them if Dorothey Dugger is earning her $300,000+ salary when she holds not a single person under her accountable. Ask them why they have passed the buck and not held anyone accountable themselves. boardofdirectors [at] bart.gov
§BART's latest flawed "citizen" police oversight draft
by dave id
bart_draft_police_oversight_model_073009.pdf_600_.jpg
(15-page PDF)

DRAFT BART CITIZEN OVERSIGHT MODEL
Purpose: To provide an effective, independent citizen oversight system that promotes
integrity and encourages systemic change and improvement in the police services BART
provides to the public by ensuring that internal police accountability systems function
properly; that behavioral, procedural and policy deficiencies are identified and
appropriately addressed, including racial profiling and allegations of racially abusive
treatment; and, that complaints are investigated through an objective and fair process for
all parties involved. The system will analyze allegations of misconduct; utilize data to
identify trends, including disciplinary outcomes and trends; recommend corrective action
and or training; maintain confidentiality; make policy recommendations; and, report
regularly to the BART Board of Directors and the public. The essential community
involvement component of the system shall be accomplished through the inclusion of a
Citizen Board.
Chapter 1:
1-01 OFFICE OF THE INDEPENDENT POLICE AUDITOR
1-02 APPOINTMENT OF THE AUDITOR
1-03 SCOPE
1-04 DUTIES AND RESPONSIBILITIES
1-05 RELATIONSHIP BETWEEN OFFICE OF INDEPENDENT POLICE
AUDITOR AND CITIZEN BOARD
1-06 RELATIONSHIP BETWEEN THE OFFICE OF THE INDEPENDENT POLICE
AUDITOR AND THE BART POLICE DEPARTMENT AND OTHER
DEPARTMENTS
1-07 COOPERATON WITH THE OFFICE OF THE INDEPENDENT POLICE
AUDITOR
1-08 INDEPENDENCE OF THE AUDITOR
1-09 CONFIDENTIALITY OF RECORDS AND INFORMATION
1-10 CODE OF ETHICS
1-11 TIMELINESS
Chapter 2:
2-01 CITIZEN BOARD
2-02 APPOINTMENT OF THE CITIZEN BOARD MEMBERS
2-03 CITIZEN BOARD MEMBER QUALIFICATIONS/RESTRICTIONS
2-04 REMOVAL OF CITIZEN BOARD MEMBERS
2-05 SCOPE
2-06 DUTIES AND RESPONSIBILITIES
2-07 RELATIONSHIP BETWEEN CITIZEN BOARD AND OFFICE OF THE
INDEPENDENT POLICE AUDITOR
2-08 CONFIDENTIALITY OF RECORDS AND INFORMATION
2-09 CODE OF ETHICS
Chapter 3:
3-01 OVERSIGHT SYSTEM EVALUATION
Chapter 1-01 OFFICE OF THE INDEPENDENT POLICE AUDITOR
The Office of the Independent Police Auditor shall be established by the Board of
Directors in keeping with the Core Principles for an Effective Police Auditor's Office.'
Chapter 1-02 APPOINTMENT OF THE AUDITOR
The Auditor shall be appointed by and report directly to the BART Board of Directors.
Chapter 1 -03 SCOPE
The Office of the Independent Police Auditor shall have the authority to exercise its
duties and responsibilities as outlined below, with regard to any and all law enforcement
and police activities or personnel operating under authority of the San Francisco Bay
Area Rapid Transit District. The Auditor's scope of authority does not extend beyond the
BART Police Department.
Chapter 1-04 DUTIES AND RESPONSIBILITIES
A) Citizen Complaints
A victim of on-duty police misconduct, a victim's parent or guardian, or a
witness to misconduct may file with the Office of the Independent Police
Auditor a complaint or allegation of wrongdoing against a BART police
officer. Upon receipt of such complaint or allegation , the Office of the
Independent Police Auditor shall:
i) Ensure that a timely, thorough, complete, objective and fair
investigation into the complaint is conducted . The Police Auditor
shall investigate all complaints of allegations of police officer
misconduct regarding unnecessary or excessive use of force, racial
profiling, sexual orientation bias , sexual harassment, and the use of
deadly force, suspicious and wrongful deaths.
ii) Provide timely updates on the progress of all investigations conducted
by the Office of the Independent Police Auditor to the complainant
and the officer who is the subject of the investigation , unless the
specific facts of the investigation would prohibit such notification.
iii) Based on the results of the investigation , reach an independent finding
as to the facts . The Auditor shall assess the conduct of the BART
police officer in light of the facts discovered through the investigation,
the law, and the policies and training of the BART Police Department.
B) Recommendations for Corrective Action
i) Independent investigative findings made by the Office of the Police
Auditor shall include recommendations for corrective action , up to and
including termination where warranted and shall include prior
1 Report of the First National Police Auditors Conference , March 26-27, 2003, Prepared by Samuel Walker
2
complaints and their disposition. When the evidence does not support
the allegations of misconduct, the Auditor shall recommend that the
matter be dismissed.
ii) In a confidential personnel meeting, the Auditor shall submit his/her
investigative findings and recommendations to the Citizen Board for
review. Should the Citizen Board agree with the findings and
recommendations, the report will be submitted to the Chief of Police
for appropriate action. The Chief of Police shall implement the
recommended action, absent appeal.
iii) Should the Chief of Police disagree with the findings and
recommendation of the Auditor and Citizen Board, the Chief of Police,
in a confidential personnel meeting, may appeal to the General
Manager. The Chief of Police will submit his/her disagreements and
recommendations to the General Manager. In a confidential personnel
meeting, the General Manager shall make a decision and make his/her
decision known to the Chief of Police, Citizen Board and the Auditor.
The Chief of Police shall implement the General Manager's decision,
absent appeal. Appeal of decisions made by the General Manager shall
follow the process outlined in Chapter 1-04(B)vi.
iv) Should the Citizen Board disagree with the Auditor's findings, by
simple majority, in a confidential personnel meeting, the Auditor and
the Citizen Board shall attempt to come to a consensus . If the Citizen
Board and the Auditor fail to come to a consensus, by simple majority,
the Citizen Board may appeal. The efforts made to achieve consensus
shall be documented by the Citizen Board and shall be forwarded to
the Chief of Police as a part of the appeal. All appeals regarding
findings and recommendations for corrective action or dismissal,
between the Citizen Board and the Auditor will be initially appealed to
the Chief of Police, in a confidential personnel meeting. The Citizen
Board will submit their disagreements and recommendations to the
Chief of Police, in a confidential personnel meeting. The Auditor will
submit his/her recommendation to the Chief of Police, in a confidential
personnel meeting. The Chief of Police shall make a decision on the
matter and make his/her decision known to the Citizen Board and the
Auditor, in a confidential personnel meeting. The Chief of Police shall
implement discipline or dismissal , absent appeal.
v) If the Citizen Board disagrees with the Chief of Police's decision and
it is reflected by simple majority of its members, they may appeal to
the General Manager, in a confidential personnel meeting. The Citizen
Board and the Auditor's recommendations will be submitted to the
General Manager, in a confidential personnel meeting. The General
Manager will render a finding and report it to the Chief of Police and
Citizen Board, in a confidential personnel meeting. The Chief of
Police shall implement the General Manager's decision , absent appeal.
3
vi) If the Citizen Board disagrees with the General Manager with a super
(2/3) majority, they may appeal to the BART Board of Directors. All
reports developed as part of the investigation will be submitted to the
BART Board of Directors, who will render a decision in a closed
personnel session . BART Board of Directors decisions regarding
discipline will require a super (2/3) majority of the BART Board of
Directors for approval. In a confidential personnel session, the BART
Board will notify the Citizen Board, General Manager and Chief of
Police. The Chief of Police will implement the decision of the Board
of Directors, which will be final.
vii)Discipline recommended herein shall be subject to an administrative
hearing prior to implementation , in a manner consistent with
addressing the due process rights of public employees, when
applicable.
C) Review Internal Affairs Investigations conducted by the BART Police
Department
The Office of the Independent Police Auditor shall review internal affairs
investigations conducted by the BART Police Department to determine if
the investigations are complete, thorough, objective and fair. The Auditor,
at his or her discretion, shall have authority to monitor or require followup
investigation into any citizen complaint or allegation that is handled by
the BART Police Department.
D) Mediation
The Office of the Independent Police Auditor shall develop a voluntary
alternative dispute resolution process for resolving those citizen
complaints which involve conduct which may most appropriately be
corrected or modified through less formal means. The Auditor shall
review a draft of the voluntary alternative dispute resolution process with
the Citizen Board and BART Police Associations and secure their
concurrence prior to implementation.
E) Appeal of Internal Affairs Investigation Findings
Any complainant may file with the Office of the Independent Police
Auditor an appeal of the findings of an internal investigation conducted by
the BART Police Department regarding on-duty incidents. Upon receipt
of such an appeal, the Office of the Independent Auditor shall:
i) Review the completed investigation.
ii) Determine whether or not further investigation is warranted and, if
necessary, ensure that a timely, thorough , complete, objective and fair
4
follow-up investigation into the complaint or allegation is conducted.
This follow-up investigation may, at the discretion of the Auditor, be
conducted by the Office of the Independent Police Auditor, the BART
Police Department or any other competent investigative agency.
iii) Provide timely updates on the progress of the review and any followup
investigation to the complainant, to the extent permitted by law,
and to the BART police officer who was the subject of the original
investigation, unless the specific facts of the investigation would
prohibit such notification.
iv) Based on the review of the original investigation and the results of any
follow-up investigation (if conducted), reach an independent finding as
to the facts.
v) Independent investigative findings made by the Office of the Police
Auditor shall include recommendations for corrective action, up to and
including termination where warranted and when the evidence does
not support the allegations of misconduct, the Auditor shall
recommend that the matter be dismissed.
vi) All internal affairs investigative findings that are appealed to the
Office of the Independent Police Auditor shall be subject to the
procedures for corrective action as outlined in Chapter 1-04.B, above.
F) On-Duty Officer Involved Shooting Incidents
The Auditor shall be notified immediately by the officer in charge at the
scene to respond to the investigative scene regarding an officer involved
shooting, resulting in the death or serious bodily injury to a citizen or a
police officer.
G) Recommendations on Procedures, Practices and Training
The Office of the Independent Police Auditor shall develop specific
recommendations concerning General Orders and Directives, procedures,
practices and training of the BART Police Department. Such
recommendations should have as their goal improved professionalism,
safety, effectiveness and accountability of BART Police Department
employees. The Office of the Independent Police Auditor shall review
with the Chief of Police and other stakeholders and shall present its
recommendations to the Citizen Board for review and comment.
H) BART Police Associations
The Auditor shall meet periodically with and seek input from the BART
Police Managers Association and the BART Police Officers Association
regarding the work of the Office of the Independent Police Auditor.
5
I) Community Outreach
The Office, of the Independent Police Auditor, in conjunction with the
Citizen Board, shall develop and maintain a regular program of
community outreach and communication for the purpose of listening to
and communicating with citizens in the BART service area, and educating
the public on the responsibilities and services of the Independent Police
Auditor and functions of the Citizen Board.
J) Reporting
The Auditor shall prepare annual reports for the Board of Directors and
the public, which prior to being finalized shall be reviewed in draft with
the Citizen Board. To the extend permitted by law, reports shall include
the number and types of cases filed, number of open cases, the disposition
of and any action taken on cases including recommendations for corrective
action, and the number of cases being appealed; findings of trends and
patterns analyses; and, recommendations to change BPD policy and
procedures, as appropriate. The reports shall include all complaints
regarding police officers received by the Office of the Independent Police
Auditor, BART Police Department, Office of the District Secretary, and
other District departments.
Chapter 1-05 RELATIONSHIP BETWEEN OFFICE OF THE INDEPENDENT
POLICE AUDITOR AND THE CITIZEN BOARD
A) At least monthly, the Citizen Board shall receive reports from the Independent
Police Auditor on the number and types of cases filed, number of open cases,
the disposition of and any action taken on cases, recommendations for
corrective action, including discipline and dismissals; the number of
independent investigations concluded by the Office of the Independent
Auditor. The report shall also include the number of cases being appealed
either to the Office of Police Auditor by citizens or by the Citizen Board
according to the appeals process described in Chapter 1-04.b.ii-iv, above in
the case of disagreements between the Chief of Police and the Auditor,
Citizen Board to the General Manager or Citizen Board to the BART Board of
Directors.
Reports shall include all complaints received by the Office of the Independent
Police Auditor, BART Police Department, Citizen Board, Office of the
District Secretary, and other District departments. For tracking purposes and
to insure timeliness, this report shall include the number of days that have
elapsed between the date of the complaint and the report to the Citizen Board.
B) The Office of the Independent Police Auditor shall, for informational purposes,
promptly notify the Chair of the Citizen Board whenever the Auditor is
informed of a critical on-duty officer involved incident where death or serious
bodily injury results.
6
C) The Office of the Independent Police Auditor will facilitate the preparation of
reports by the Citizen Board to the Board of Directors and the public.
D) The Office of the Independent Police Auditor will provide staff support to and
facilitate training for the Citizen Board.
E) The Office of the Independent Police Auditor will coordinate a regular
program of community outreach and communication with the public, in
conjunction with the Citizen Board.
F) The Office of the Independent Police Auditor will facilitate the application
process for seats on the Citizen Board and will coordinate the selection
process with the Office of the District Secretary and the Board of Directors.
G) The performance and effectiveness of the Office of the Independent Police
Auditor shall be assessed by the Citizen Board for consideration by the Board
of Directors ' Personnel Committee.
Chapter 1-06 RELATIONSHIP BETWEEN OFFICE OF THE INDEPENDENT
POLICE AUDITOR, BART POLICE DEPARTMENT, OFFICE OF
THE DISTRICT SECRETARY, AND OTHER DISTRICT
DEPARTMENTS
A) The Chief of Police, District Secretary and other Executive Managers with
employees that routinely receive comments/complaints from the public shall
each , jointly with the Auditor, develop standard operating procedures to
govern the relationship and flow of communication regarding complaints
involving police officers between the Office of the Independent Police
Auditor and each of their respective departments.
B) The Office of the Independent Police Auditor and the. Chief of Police shall
provide each other with timely notification of complaints , investigations,
appeals and findings and with such information and cooperation as is
appropriate and necessary.
Chapter 1 -07 COOPERATION WITH THE OFFICE OF THE INDEPENDENT
POLICE AUDITOR
A) The Auditor shall have unfettered access to police reports and police
personnel records. All parties who have access to confidential information
shall comply with all confidentiality requirements of the Department, the
District, and all state and federal laws.
B) During an investigation all involved sworn personnel shall be compelled to
meet and cooperate with the Auditor in accordance with the Government
Code 3300-3313.
7
C) No person shall directly or indirectly force, or by any threats to person or
property, or in any manner willfully intimidate, influence, impede, deter,
threaten, harass, obstruct or prevent, another person, including a child, from
freely and truthfully cooperating with the Office of the Independent Police
Auditor.
Chapter 1-08 INDEPENDENCE OF THE OFFICE OF THE INDEPENDENT
POLICE AUDITOR
A) The Auditor and any employee of the Office of the Independent Police
Auditor shall, at all times, be totally independent. All investigations, findings,
recommendations and requests made by the Office of the Independent Police
Auditor shall reflect the views of the Office of the Independent Police Auditor
alone.
B) No District employee or Director shall attempt to unduly influence or
undermine the independence of the Auditor or any employee of the Office of
the Independent Police Auditor in the performance of the duties and
responsibilities set forth in this Chapter.
Chapter 1-09 CONFIDENTIALITY OF RECORDS AND INFORMATION
The Office of the Independent Police Auditor shall comply with all state and federal laws
requiring confidentiality of law enforcement records, information, and confidential
personnel records, and respect the privacy of all individuals involved.
Chapter 1-10 CODE OF ETHICS
The employees of the Office of the Police Auditor shall adhere to the National
Association for Civilian Oversight of Law Enforcement (NACOLE) Code of Ethics.
Chapter 1-11 TIMELINESS
Nothing in this section is intended to delay or interfere with the timely investigation and
disposition of internal affairs investigations of alleged police misconduct. The Auditor
and Citizen Board shall jointly develop a timeline for completion of the disciplinary
process that will be concluded within 365 days.
Chapter 2-01 CITIZEN BOARD
A Citizen Board shall be established by the Board of Directors to increase visibility for
the public into the delivery of BART police services, to provide community participation
in the review and establishment of BART Police Department policies, procedures,
practices and initiatives, and to receive citizen complaints and allegations of misconduct
by BART Police Department employees. Results of investigations into allegations of
misconduct by BART police and recommendations for corrective action, including
discipline, will be reviewed by the Citizen Board.
8
Chapter 2-02 APPOINTMENT OF CITIZEN BOARD MEMBERS
The Citizen Board shall report directly to the BART Board of Directors. The Citizen
Board shall consist of eleven (11) members appointed as follows: Each BART Director
shall appoint one (1) member. The BART Police Associations (BPMA and BPOA) shall
jointly appoint one (1) member, who will not be a current member of either Association.
There shall be one (1) public-at-large member to be appointed by the BART Board of
Directors. Members of the Citizen Board must reside in one of the three counties that
make up the BART District and shall agree to adhere to the Code of Ethics described in
Chapter 2-08. The initial appointments of Citizen Board members will be a combination
of one-year and two-year terms. All subsequent appointments or re-appointments to the
Citizen Board shall be for two-year terms. Service on the Citizen Board shall be
voluntary. (COMPENSATION TO BE DETERMINED)
Chapter 2-03 CITIZEN BOARD MEMBER QUALIFICATIONS
Citizen Board members must reside in one of the three counties that make up the BART
District. Citizen Board members must be fair minded and objective with a demonstrated
commitment to community service. All appointees to the Citizen Board shall be subject
to background checks. No person convicted of a felony shall serve on the Citizen Board.
Chapter 2-04 REMOVAL OF CITIZEN BOARD MEMBERS
The members of the Citizen Advisory Board shall adhere to the National Association for
Civilian Oversight of Law Enforcement (NACOLE) Code of Ethics and comply with all
applicable state and federal laws regarding confidentiality . Citizen Board members shall
not miss more than three regularly scheduled meeting per year . In cases that warrant
removal of a member from the Citizen Board for reasons including but not limited to
breach of ethics , confidentiality , or criminal conviction, said removal shall be
accomplished only by a resolution adopted by the majority of the Board of Directors.
Chapter 2-05 SCOPE
The Citizen Board shall have the authority to exercise its duties and responsibilities as
outlined below, with regard to law enforcement and police activities or personnel
operating under authority of the San Francisco Bay Area Rapid Transit District.
Chapter 2-06 DUTIES AND RESPONSIBILITIES
A) Citizen Complaints
A victim of on-duty police misconduct, a victim's parent or guardian, or a
witness to misconduct may file, at any public meeting of the Citizen
Board, a written complaint or allegation of wrongdoing against a BART
police officer. Upon receipt of such complaint or allegation, the Citizen
Board will immediately turn the complaint or allegation over to the Office
of the Independent Police Auditor for investigation.
9
B) Recommendations for Corrective Action
i) In a confidential personnel meeting, the Auditor shall submit his/her
investigative findings and recommendations to the Citizen Board for
review. Should the Citizen Board agree with the findings and
recommendations, the report will be submitted to the Chief of Police
for appropriate action. The Chief of Police shall implement the
recommended action, absent appeal.
ii) Should the Chief of Police disagree with the findings and
recommendation of the Auditor and Citizen Board, the Chief of Police,
in a confidential personnel meeting, may appeal to the General
Manager. The Chief of Police will submit his/her disagreements and
recommendations to the General Manager. In a confidential personnel
meeting, the General Manager shall make a decision and make his/her
decision known to the Chief of Police, Citizen Board and the Auditor.
The Chief of Police shall implement the General Manager's decision,
absent appeal.
iii) Should the Citizen Board disagree with the Auditor's findings by
simple majority, in a confidential personnel meeting, the Auditor and
the Citizen Board shall attempt to come to a consensus. If the Citizen
Board and the Auditor fail to come to a consensus, by simple majority,
the Citizen Board may appeal. The efforts made to achieve consensus
shall be documented by the Citizen Board and shall be forwarded to
the Chief of Police as a part of the appeal. All appeals regarding
findings and recommendations for corrective action or dismissal,
between the Citizen Board and the Auditor will be initially appealed to
the Chief of Police, in a confidential personnel meeting. The Citizen
Board will submit their disagreements and recommendations to the
Chief of Police, in a confidential personnel meeting. The Auditor will
submit his/her recommendation to the Chief of Police, in a confidential
personnel meeting. The Chief of Police shall make a decision on the
matter and make his/her decision known to the Citizen Board and the
Auditor, in a confidential personnel meeting. The Chief of Police shall
implement discipline or dismissal , absent appeal.
iv) If the Citizen Board disagrees with the Chief of Police's decision and
it is reflected by simple majority of its members, they may appeal to
the General Manager, in a confidential personnel meeting. The Citizen
Board, Auditor and Chief of Police recommendations will be
submitted to the General Manager, in a confidential personnel
meeting. The General Manager will render a finding and report it to
the Chief of Police, Auditor and Citizen Board, in a confidential
personnel meeting. The Chief of Police shall implement the General
Manager' s decision, absent appeal.
v) If the Citizen Board disagrees with the General Manager with a super
(2/3) majority, they may appeal to the BART Board of Directors. All
10
reports will be submitted to the BART Board of Directors, who will
render a decision in a closed personnel session. All of the BART
Board of Director's decisions will require a super (2/3) majority of the
BART Board of Directors for approval. In a confidential personnel
session, the BART Board will notify the Citizen Board, General
Manager and Chief of Police. The Chief of Police will implement the
decision of the Board of Directors, which will be final.
vi) Discipline recommended herein shall be subject to an administrative
hearing prior to implementation, in a manner consistent with
addressing the due process rights of public employees, when
applicable
C) Recommendations on Procedures, Practices and Training
The Citizen Board shall develop and review recommendations as to the
general orders and directives, procedures, and practices of the BART
Police Department in consultation with the Auditor. Recommendations
should have as their goal improved professionalism, safety, effectiveness
and accountability of BART Police Department employees. The Citizen
Board may make recommendations to the Chief of Police, General
Manager, and Board of Directors, as appropriate.
The Citizen Board shall review and comment on all additions and changes
to policy, procedures and practices as well as all new initiatives (including
training and equipment) proposed by the BART Police Department or the
Office of the Independent Police Auditor and make recommendations to
the BART Board of Directors.
D) Disagreements Regarding Proposed Policies, Procedures, and Practices
The Board of Directors shall review and resolve all disagreements
regarding proposed policies, procedures, and practices that may arise
between the Citizen Board and the Chief of Police, Auditor or General
Manager. The Board of Directors shall make the final determination in all
such instances.
E) BART Police Associations
The Citizen Board shall meet periodically with and seek input from the
BART Police Managers Association and the BART Police Officers
Association on issues of interest to the parties.
F) Community Outreach
The Citizen Board, in conjunction with the Office of the Independent
Police Auditor, shall develop and maintain a regular program of
community outreach and communication for the purpose of listening to
11
and communicating with citizens in the BART service area, and educating
the public on the responsibilities and services of the Independent Police
Auditor and functions of the Citizen Board.
G) Reporting
The Citizen Board shall file quarterly reports of its activities with the
Office of the District Secretary for distribution to the Board of Directors
and shall prepare an annual report on its accomplishments and activities
(including recommendations to improve BART Police Department
services) for presentation to the Board of Directors and the public.
The Citizen Board shall review and comment on annual report drafts
prepared by the Office of the Independent Police Auditor prior to the
report being finalized for distribution to the Board of Directors and the
public.
H) Monitor Study Recommendations
The Citizen Board shall report on the accomplishments or lack of progress
made by the BART Police Department in implementing recommendations
resulting from periodic studies that may be conducted to look at
departmental policies and procedures, practices and training.
Chapter 2-07 RELATIONSHIP BETWEEN THE CITIZEN BOARD AND THE
OFFICE OF THE INDEPENDENT POLICE AUDITOR
A) At least monthly, the Citizen Board shall meet to receive reports from the
Independent Police Auditor on the number and types of cases filed, number of
open cases, the disposition of and any action taken on cases, recommendations
for corrective action, including discipline and dismissals; the number of
independent investigations concluded by the Office of the Independent
Auditor; and, the number of cases being appealed either to the Office of Police
Auditor by citizens or in the case of disagreements between the Chief of
Police and the Auditor, Citizen Board to the General Manager or Citizen
Board to the BART Board of Directors.
Reports by the Independent Police Auditor shall include all complaints
received by the Office of the Independent Police Auditor, BART Police
Department, Citizen Board, Office of the District Secretary, and other District
departments. This report shall also include the number of days that have
elapsed between the date of the complaint and the report to the Citizen Board.
B) The Citizen Board shall make forms available at its meetings to accept
complaints and allegations of police misconduct from the public. The Citizen
Board will immediately file all complaints and allegations it receives from the
public with the Office of the Independent Police Auditor for investigation.
12
C) The Chair of the Citizen Board shall, for informational purposes, be promptly
informed by the Office of the Independent Police Auditor of all critical onduty
officer involved incidents, where death or serious bodily injury results.
D) The Citizen Board shall prepare reports for the Board of Directors and the
public with support provided by the Office of the Independent Police Auditor.
E) The Citizen Board (as well as the BART Police Associations) shall participate
in an advisory role in the selection of the Chief of Police by interviewing
finalist candidates.
F) The Citizen Board shall assess and report to the Board of Directors ' Personnel
Committee on the performance and effectiveness of the Office of the
Independent Police Auditor.
G) The Citizen Board (as well as the BART Police Associations) shall participate
in an advisory role in the process of selecting all successors to the first
Independent Police Auditor.
H) The Citizen Board will participate in a regular program of community
outreach and communication with the public, in conjunction with the
Independent Police Auditor.
I) The Office of the Independent Police Auditor will the provide staff support to
and facilitate training for the Citizen Board.
Chapter 2-08 CONFIDENTIALITY OF RECORDS AND INFORMATION
Members of the Citizen Board shall comply with all state and federal laws requiring
confidentiality of law enforcement records, information, and confidential personnel
records, and respect the privacy of all individuals involved.
Chapter 2-09 CODE OF ETHICS
The members of the Citizen Board shall agree to adhere to the National Association for
Civilian Oversight of Law Enforcement (NACOLE) Code of Ethics.
Chapter 3-01 OVERSIGHT SYSTEM EVALUATION
The Board of Directors, with input from the Citizen Board, Auditor, BART Police
Associations, complainants and the public, will evaluate the BART Police citizen
oversight structure after the first year of implementation to determine if the need exists to
make changes and or otherwise make adjustments to the system to improve its continued
performance. This evaluation shall in no way be intended to eliminate the BART Police
citizen oversight structure.
13
bart_prspin_very-pleased-with-selves_08-03-09.pdf_600_.jpg
(1-page PDF)


*******PLEASE DO NOT REPLY TO THIS EMAIL*******

#2009-070
Contact: Luna Salaver
Public Information Officer
BART Media & Public Affairs
510-874-7474 Desk
510-899-2366 Pager
lsalave [at] bart.gov

FOR IMMEDIATE
RELEASE

August 3, 2009

BART SEEKS PUBLIC COMMENT ON
DRAFT MODEL OF CITIZEN
OVERSIGHT OF BART POLICE


OAKLAND, CA – On July 30, nearly 60 people attended the BART Board of
Directors special board meeting to discuss the draft proposal to create
independent citizen oversight of the BART Police Department. At the
meeting the BART Board presented the proposal, heard comments from the
public and announced that the public comment period will continue until
Friday, August 7, 2009.

“We are very pleased with how well the meeting went and the process we
implemented to draft the proposed citizen police oversight plan,” BART
Board Member Carole Ward Allen said. “We used the Helgesen ‘web of
inclusion’ model to involve everyone in this vision. To have the members
of the community and Oscar Grant’s family participate in creating our
oversight model is very significant.” Dr. Ward Allen chairs the BART Police
Department Review Committee, which was established by BART Board President
Thomas Blalock to take the necessary steps to make sure the tragedy of New
Year’s Day never happens again. “I selected BART Board Member Radulovich
to chair the sub-committee charged with formulating the police oversight
because of his interest and expertise in the area.”

HIGHLIGHTS OF THE DRAFT MODEL

The draft proposal of the citizen oversight model includes the following
components:

- An independent auditor who is appointed by and reports directly to the BART Board of Directors
- An 11-member Citizen Board
- The power to review BART police policies, practices and procedures, and recommend changes
- The power to investigate complaints against officers
- The power to recommend discipline against officers

You can find a copy of the draft BART Citizen Oversight Model at
http://www.bart.gov, under the Board of Directors July 30 special board meeting
agenda.

“The proposal that we presented at this public meeting is complex, with
many checks and balances but it will be one of the strongest police
oversight systems in Northern California,” BART Board Member Tom Radulovich
said. “It will make BART Police Department one of the most accountable in
the region.”

HOW TO SUBMIT COMMENTS

The BART Board of Directors will accept written comment on the draft model
via e-mail or US mail until Friday, August 7, 2009. Send your comments to:

- US Mail
BART Board of Directors
P.O. Box 12688
Oakland, CA 94604-2688

- e-mail
boardofdirectors [at] bart.gov


“I look forward to another subcommittee meeting to discuss comments from
the public before we adopt the final resolution,” BART Board Member Lynette
Sweet said. “We gained a lot from the remarks we heard from the public who
attended Thursday’s meeting. We encourage all of our customers to be
involved and help us make the BART Police Department the best it can be.”
BART Board Member Lynette Sweet, along with members of the public, is also
part of the nine-member subcommittee that’s tasked with developing the
proposed model of citizen oversight of the BART Police.

--###--

(See attached file: BART Invites Public Input on Draft Citzens Oversight_FINAL.pdf)
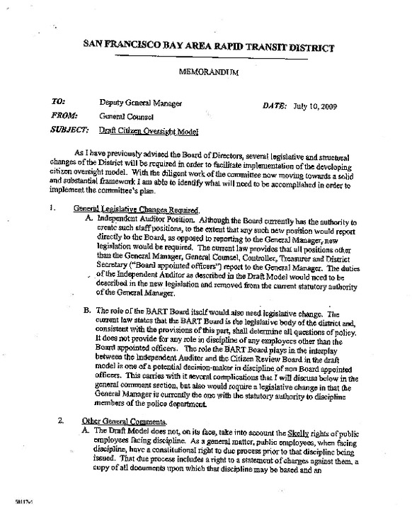
§BART lawyer comments on earlier draft
by dave id
bartlawyersondraftpoliceoversight_071009.pdf_600_.jpg
(3-page PDF)


Note the concern for the police bill of rights.

As a sidenote, BART had a lawyer present during the Johannes Mehserle preliminary hearing, but the lawyer reported to Dorothy Dugger. She, in turn, neglected to inform the Board about what was revealed inside the courtroom.
Add Your Comments
We are 100% volunteer and depend on your participation to sustain our efforts!

Donate

$220.00 donated
in the past month

Get Involved

If you'd like to help with maintaining or developing the website, contact us.

Publish

Publish your stories and upcoming events on Indybay.

IMC Network