From the Open-Publishing Calendar
From the Open-Publishing Newswire
Indybay Feature
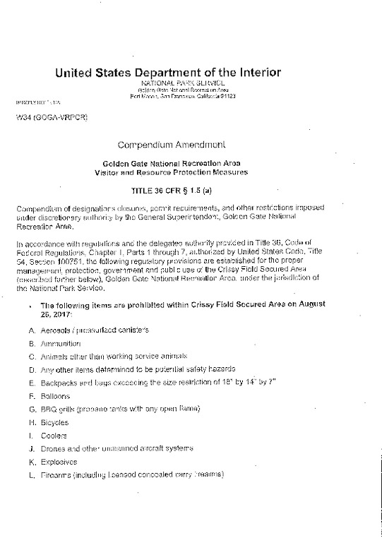
List of Banned Items for Fascist "Patriot Prayer" Rally in Crissy Field, San Francisco
Despite objections from locals, Trump's National Park Service gave final approval Wednesday to a permit for the "Patriot Prayer" rally in Crissy Field in San Francisco, sure to attract a motley crew of idiotic and dangerous racists and fascists from all over California and across the country. The US Department of the Interior also issued a list of items that would be banned within a fenced "Crissy Field Secured Area" for just that one day. SFPD has promised checkpoints and every pig in the city will be on duty Saturday. It's likely that weaponized skirmishes will occur outside of any "nazi free speech" zones. Watch each other's backs traveling to and from the area. Be careful. Live to fight another day.
The following items are prohibited within Crissy Field Secured Area on August 26, 2017:
A. Aerosols I pressurized canisters
B. Ammunition
C. Animals other than working service animals
D. Any other iterns determined to be potential safety hazards
E. Backpacks and bags exceeding the size restriction of 18" by 14" by 7"
F. Balloons
G. BBQ grills (propane tanks with any open flarne)
H. Bicycles
I. Coolers
J. Drones and other unmanned aircraft systems
K. Explosives
L. Firearms (including licensed concealed carry firearms)
M. Gas Masks
N. Glass, thermal or metal containers
0. Helmets
P. Laser pointers
Q. Liquids (other than water in factory-sealed, clear plastic bottles)
R. Mace I pepper spray
S. Packages
T. Pop up tents or canopies
U. Selfie sticks
V. Shields
W. Signs exceeding the size restriction of 24" by 36" (Signs will only be allowed if made of foam core, cardboard or paper)
X. Structures
Y. Supports for signs and placards including sticks of any material
Z. Sticks or bats of any nature composed of any material
AA. Toy or replica guns
BB. Wagons or carts that can be pulled
CC. Weapons of any kind
A. Aerosols I pressurized canisters
B. Ammunition
C. Animals other than working service animals
D. Any other iterns determined to be potential safety hazards
E. Backpacks and bags exceeding the size restriction of 18" by 14" by 7"
F. Balloons
G. BBQ grills (propane tanks with any open flarne)
H. Bicycles
I. Coolers
J. Drones and other unmanned aircraft systems
K. Explosives
L. Firearms (including licensed concealed carry firearms)
M. Gas Masks
N. Glass, thermal or metal containers
0. Helmets
P. Laser pointers
Q. Liquids (other than water in factory-sealed, clear plastic bottles)
R. Mace I pepper spray
S. Packages
T. Pop up tents or canopies
U. Selfie sticks
V. Shields
W. Signs exceeding the size restriction of 24" by 36" (Signs will only be allowed if made of foam core, cardboard or paper)
X. Structures
Y. Supports for signs and placards including sticks of any material
Z. Sticks or bats of any nature composed of any material
AA. Toy or replica guns
BB. Wagons or carts that can be pulled
CC. Weapons of any kind
Add Your Comments
We are 100% volunteer and depend on your participation to sustain our efforts!
Get Involved
If you'd like to help with maintaining or developing the website, contact us.
Publish
Publish your stories and upcoming events on Indybay.
Topics
More
Search Indybay's Archives
Advanced Search
►
▼
IMC Network

