From the Open-Publishing Calendar
From the Open-Publishing Newswire
Indybay Feature
Santa Cruz Shame Shamble
Date:
Sunday, October 20, 2013
Time:
1:45 PM
-
3:15 PM
Event Type:
Protest
Organizer/Author:
Robert Norse
Email:
Phone:
831-423-4833
Address:
309 Cedar PMB #14B Santa Cruz, CA 95060
Location Details:
On the sidewalk in front of Forever Twenty One on Pacific Avenue near Soquel in downtown Santa Cruz
Full-scale head-on Sidewalk Snatching in pursuit of "law and commerce" will begin October 24th when a second protest is scheduled (see flier below).
At issue are the laws targeting street performers, artists, vendors, homeless folks, sparechanges, and anyone who likes to linger downtown in a non-commercial mode.
Rushed through City Council with no prior public process, outreach to affected groups, or consultation with social service providers, street performers, and others downtown, the laws reduce public space downtown almost to the vanishing point.
The laws provide police, hosts, and security guards as well as cranks, hostile merchants, and Take Back Santa Cruz vigilantes a field day against whomever they want to "move along".
A historical tour of past public space struggles is slated for 2 PM when we may also be able to observe the Hostile-patility yelllow jackets as they helpfully advise people to surrender rights and space...or face hundreds of dollars in fines (and jail for the second offense).
Bring a musical instrument, horn, or other noisemaker if you have one.
Meanwhile the right-wing City Council through Mayor Bryant's "Public Safety" Citizens Task Force is considering all manner of anti-homeless and anti-progressive measures. Shudder at the latest Task Farce staff report at http://www.cityofsantacruz.com/Modules/ShowDocument.aspx?documentid=34511 .
Many of the Downtown Ordinances that will be in full grim flower on October 24th are described at https://www.indybay.org/uploads/2013/10/10/tour_of_shame_longer_flyer.pdf
Final cries of anguish & definance can be directed at City Council on Tuesday October 22nd at 5 PM during the brief Oral Communications period.
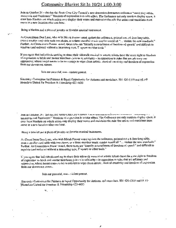
The Committee for Fairness & Equal Opportunity for Artists and Musicians is planning a Community Blanket Sit-In 10-24 1 PM to 3 PM as described below. Bring video equipment.
At issue are the laws targeting street performers, artists, vendors, homeless folks, sparechanges, and anyone who likes to linger downtown in a non-commercial mode.
Rushed through City Council with no prior public process, outreach to affected groups, or consultation with social service providers, street performers, and others downtown, the laws reduce public space downtown almost to the vanishing point.
The laws provide police, hosts, and security guards as well as cranks, hostile merchants, and Take Back Santa Cruz vigilantes a field day against whomever they want to "move along".
A historical tour of past public space struggles is slated for 2 PM when we may also be able to observe the Hostile-patility yelllow jackets as they helpfully advise people to surrender rights and space...or face hundreds of dollars in fines (and jail for the second offense).
Bring a musical instrument, horn, or other noisemaker if you have one.
Meanwhile the right-wing City Council through Mayor Bryant's "Public Safety" Citizens Task Force is considering all manner of anti-homeless and anti-progressive measures. Shudder at the latest Task Farce staff report at http://www.cityofsantacruz.com/Modules/ShowDocument.aspx?documentid=34511 .
Many of the Downtown Ordinances that will be in full grim flower on October 24th are described at https://www.indybay.org/uploads/2013/10/10/tour_of_shame_longer_flyer.pdf
Final cries of anguish & definance can be directed at City Council on Tuesday October 22nd at 5 PM during the brief Oral Communications period.
The Committee for Fairness & Equal Opportunity for Artists and Musicians is planning a Community Blanket Sit-In 10-24 1 PM to 3 PM as described below. Bring video equipment.
Added to the calendar on Fri, Oct 18, 2013 8:33PM
Add Your Comments
Latest Comments
Listed below are the latest comments about this post.
These comments are submitted anonymously by website visitors.
TITLE
AUTHOR
DATE
Audio On-Line
Fri, Oct 25, 2013 5:44AM
Cleaned-Up Version of the October 24th Flier
Fri, Oct 18, 2013 8:38PM
We are 100% volunteer and depend on your participation to sustain our efforts!
Get Involved
If you'd like to help with maintaining or developing the website, contact us.
Publish
Publish your stories and upcoming events on Indybay.
Topics
More
Search Indybay's Archives
Advanced Search
►
▼
IMC Network

