Berkeley city manager wages dirty war on downtown Berkeley post office action
As part of Boss Hogg University [UC Berkeley]'s ongoing downtown Berkeley landgrab, UC regent Richard Blum is attempting to buy the post office building in downtown Berkeley and evict the post office. So far, that action has been thwarted by the efforts of many Berkeley citizens, including a direct-action encampment at the downtown Berkeley P.O.. This has gotten the attention of Berkeley city manager Christine Daniel, who, despite the proclaimed support of Berkeley mayor Tom Bates and the Berkeley city council for the action and for keeping the downtown P.O. in its current location, is engaging in a campaign of harassment, slander and innuendo against the encampment action.
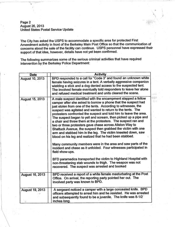
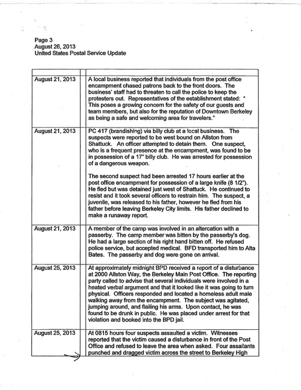
BPD officers regularly come by the encampment and tell the participants that their removal and arrest is imminent. On the night of August 26th, a joint task force of BPD and postal service popo came to the camp and delivered copies of the attached document to camp participants.
A careful reading of the laundry list of alleged incidents which happened at the camp will make it clear that the camp participants are the victims of wrongdoing and are defending themselves and the camp from physical assault. Some of the listed occurrences are things that happened off site and, without definitive proof, are blamed on camp participants. But given our society's proclivity for mere rudimentary reading and comprehension, it seems this is an attempt by the city manager to portray the encampment to the unwashed masses as a `dangerous environment`, or `a hotbed of criminal activity`, etc., etc., and should be shut down, all in the name of the public interest.
I wonder if the city manager is taking her orders directly from Richard Blum and the feds? At any rate, contact the mayor, the councilmembers, and especially the city manager, and tell them you want the campaign against the post office action to cease and desist without delay. A-ho.
Get Involved
If you'd like to help with maintaining or developing the website, contact us.
Publish
Publish your stories and upcoming events on Indybay.





