From the Open-Publishing Calendar
From the Open-Publishing Newswire
Indybay Feature
Santa Cruz Indymedia
Education & Student Activism
Environment & Forest Defense
Health, Housing & Public Services
Strong Turnout to Protect UCSC Upper Campus Prompts LAFCO to Delay Decision
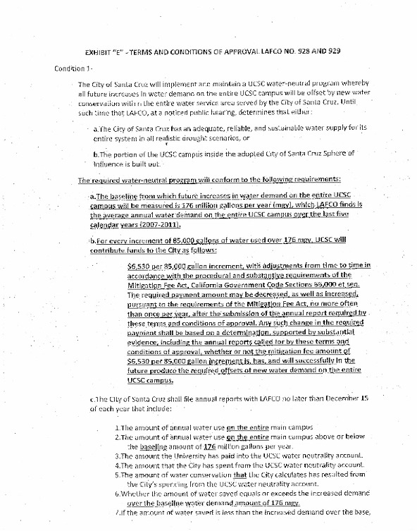
It was standing room only in the county government center for the Santa Cruz LAFCO meeting on June 6th, where over 50 community members spoke before the commission in support of protecting the forest and open space of the UC Santa Cruz upper campus from future development. During the meeting, university chancellor George Blumenthal threatened that UCSC would take legal action or withdraw the application entirely if the conditions LAFCO laid out on March 7 that limit extending water service to the north campus were imposed. After a break, commissioners John Leopold and Don Lane returned with amendments to the March 7 conditions, but ultimately LAFCO decided the next vote on the matter would be held in October. [scroll down for video, audio, photos, and LAFCO documents and proposed amendments]
"I find it interesting that three months after we voted on a new set of conditions that today is the first day in which the city and the university are coming up with alternatives," said LAFCO commissioner and Santa Cruz County Supervisor John Leopold at the June 6th meeting. "I think it is useful to engage in negotiations where we can meet our shared goals, it's not useful to try and intimidate the commission with threats of legal action, or even withdrawing the application, as was suggested [by George Blumenthal] earlier today."
The conditions Leopold referred to include protection for the locally endangered Coho Salmon and Steelhead fish species whose habitat have been negatively effected by the diversion of water from local streams by the City of Santa Cruz in the process of increasing the municipal water supply. A February 10, 2012 letter from the National Marine Fisheries Service stated, "To date, it does not appear that current water supplies are sufficient to meet current demand and protect listed salmonids, let alone allow for increased demands resulting from expansion of the City's service area. Decisions by LAFCO that facilitate the expansion of the City's service area, absent additional water supply, will exacerbate ongoing and future impacts to listed salmonids in the Santa Cruz Mountains."
To mitigate this, LAFCO added the following condition, in addition to several others, to terms of the approval of water service on March 7th: "The City of Santa Cruz will commit to reducing stream and river diversions to a level authorized by the federal and state resource agencies. To ensure this condition is fulfilled, the City shall not commence the delivery of water to the UCSC campus, outside of the City's water service area as that water service area exists on March 7, 2012, until the City has entered into a binding Habitat Conservation Plan agreement with and has received an incidental take permit from the National Marine Fisheries Service."
The idea of finding an "additional water supply" is what has those who oppose the concept of building a water desalination plant in the City of Santa Cruz interested in the expansion of UCSC's upper campus. For them, the growth of the university is seen as inextricably linked to the perception of a need to build a desal plant.
For those interested in the preservation of natural habitat, the issue of upper campus expansion involves three different possible impacts: a variety of sea life would be adversely effected by a water desalination plant; salmon and steelhead would be adversely effected in local streams by any increase in water demand; and the loss of forest and open space in the north campus area would effect the habitat of animals such as mountain lions.
UCSC undergrads, graduate students, faculty members, and residents of Santa Cruz, spoke to a variety of additional reasons as to why LAFCO should act to protect the UCSC upper campus from development and limit the university's water supply, insisting LAFCO follow their official responsibilities of, "discouraging urban sprawl, preserving open-space, and encouraging the orderly formation and development of local agencies based upon local conditions and circumstances."
Some comments made by the public focused on how the leadership of the institutions key in the decision making process concerning the expansion of the upper campus do not adequately represent the public, and especially minorities. Council member and former mayor Ryan Coonerty spoke on behalf of the city of Santa Cruz, standing before his father Neal Coonerty, chair of LAFCO, and a county supervisor and former mayor of Santa Cruz himself. That all seven LAFCO commissioners are white males did not go without audible comments by community members, one of whom noted in her comments that the university has used minority enrollment figures at UCSC to justify the expansion, regardless of the fact that UCSC has one of the lowest graduation rates in the UC system. Using minority enrollment as the justification for expansion for her is, "illogical, irresponsible, environmentally and financially risky, and dishonest," and she concluded that, "this proposal does not provide environmental justice for the citizens of California."
Before the meeting, community members gathered in front of the court house. The organization "Teach the Forest" distributed t-shirts, and people circled up and said a few words before entering the meeting as a group. A short presentation to LAFCO commissioners was first made by Chancellor Blumenthal, which was followed by a presentation on behalf of the City of Santa Cruz by council member Ryan Coonerty. Gary Patton spoke on behalf of the local organization the Community Water Coalition, which has opposed the university's water application on a variety of legal grounds. Of the more than 50 community members who spoke, only two were in favor of expansion into the upper campus, one of them being William Tysseling, the Executive Director of the Santa Cruz Chamber of Commerce.
A protest was planned that would make its way up to the university's administration building if any decisions permitting the development of the upper campus were made, but in light of LAFCO's decision to delay its decision, community members gathered outside of the court house instead to discuss the events of the day.
The general sentiment of those who spoke before LAFCO was that no development whatsoever should be allowed in the upper campus, and that LAFCO should flatly attempt to prevent it by any means necessary.
For more information about the Santa Cruz Local Agency Formation Commission (LAFCO), see:
http://santacruzlafco.org/
Alex Darocy
http://alexdarocy.blogspot.com/
The conditions Leopold referred to include protection for the locally endangered Coho Salmon and Steelhead fish species whose habitat have been negatively effected by the diversion of water from local streams by the City of Santa Cruz in the process of increasing the municipal water supply. A February 10, 2012 letter from the National Marine Fisheries Service stated, "To date, it does not appear that current water supplies are sufficient to meet current demand and protect listed salmonids, let alone allow for increased demands resulting from expansion of the City's service area. Decisions by LAFCO that facilitate the expansion of the City's service area, absent additional water supply, will exacerbate ongoing and future impacts to listed salmonids in the Santa Cruz Mountains."
To mitigate this, LAFCO added the following condition, in addition to several others, to terms of the approval of water service on March 7th: "The City of Santa Cruz will commit to reducing stream and river diversions to a level authorized by the federal and state resource agencies. To ensure this condition is fulfilled, the City shall not commence the delivery of water to the UCSC campus, outside of the City's water service area as that water service area exists on March 7, 2012, until the City has entered into a binding Habitat Conservation Plan agreement with and has received an incidental take permit from the National Marine Fisheries Service."
The idea of finding an "additional water supply" is what has those who oppose the concept of building a water desalination plant in the City of Santa Cruz interested in the expansion of UCSC's upper campus. For them, the growth of the university is seen as inextricably linked to the perception of a need to build a desal plant.
For those interested in the preservation of natural habitat, the issue of upper campus expansion involves three different possible impacts: a variety of sea life would be adversely effected by a water desalination plant; salmon and steelhead would be adversely effected in local streams by any increase in water demand; and the loss of forest and open space in the north campus area would effect the habitat of animals such as mountain lions.
UCSC undergrads, graduate students, faculty members, and residents of Santa Cruz, spoke to a variety of additional reasons as to why LAFCO should act to protect the UCSC upper campus from development and limit the university's water supply, insisting LAFCO follow their official responsibilities of, "discouraging urban sprawl, preserving open-space, and encouraging the orderly formation and development of local agencies based upon local conditions and circumstances."
Some comments made by the public focused on how the leadership of the institutions key in the decision making process concerning the expansion of the upper campus do not adequately represent the public, and especially minorities. Council member and former mayor Ryan Coonerty spoke on behalf of the city of Santa Cruz, standing before his father Neal Coonerty, chair of LAFCO, and a county supervisor and former mayor of Santa Cruz himself. That all seven LAFCO commissioners are white males did not go without audible comments by community members, one of whom noted in her comments that the university has used minority enrollment figures at UCSC to justify the expansion, regardless of the fact that UCSC has one of the lowest graduation rates in the UC system. Using minority enrollment as the justification for expansion for her is, "illogical, irresponsible, environmentally and financially risky, and dishonest," and she concluded that, "this proposal does not provide environmental justice for the citizens of California."
Before the meeting, community members gathered in front of the court house. The organization "Teach the Forest" distributed t-shirts, and people circled up and said a few words before entering the meeting as a group. A short presentation to LAFCO commissioners was first made by Chancellor Blumenthal, which was followed by a presentation on behalf of the City of Santa Cruz by council member Ryan Coonerty. Gary Patton spoke on behalf of the local organization the Community Water Coalition, which has opposed the university's water application on a variety of legal grounds. Of the more than 50 community members who spoke, only two were in favor of expansion into the upper campus, one of them being William Tysseling, the Executive Director of the Santa Cruz Chamber of Commerce.
A protest was planned that would make its way up to the university's administration building if any decisions permitting the development of the upper campus were made, but in light of LAFCO's decision to delay its decision, community members gathered outside of the court house instead to discuss the events of the day.
The general sentiment of those who spoke before LAFCO was that no development whatsoever should be allowed in the upper campus, and that LAFCO should flatly attempt to prevent it by any means necessary.
For more information about the Santa Cruz Local Agency Formation Commission (LAFCO), see:
http://santacruzlafco.org/
Alex Darocy
http://alexdarocy.blogspot.com/
Listen now:
Listen now:
Add Your Comments
We are 100% volunteer and depend on your participation to sustain our efforts!
Get Involved
If you'd like to help with maintaining or developing the website, contact us.
Publish
Publish your stories and upcoming events on Indybay.
Topics
More
Search Indybay's Archives
Advanced Search
►
▼
IMC Network



