From the Open-Publishing Calendar
From the Open-Publishing Newswire
Indybay Feature
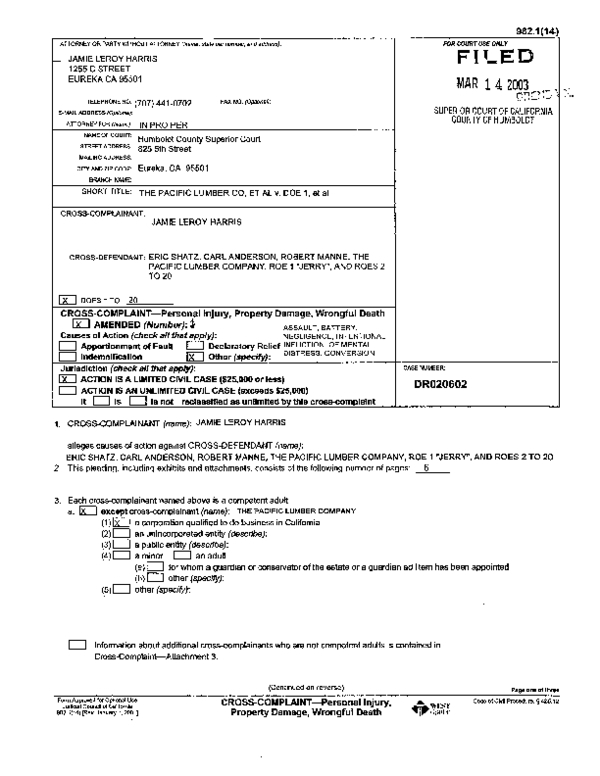
Jamie Harris v PL 1st amended cross
Plaintiffs and Cross-Defendants ERIC SHATZ, CARL ANDERSON, ROBERT MANNE, THE PACIFIC LUMBER COMPANY, DOE 1 "JERRY", and DOES 2-20 engaged in extreme and outrageous conduct.
One of the causes of action:
Plaintiffs and Cross-Defendants ERIC SHATZ, CARL ANDERSON, ROBERT MANNE, THE PACIFIC LUMBER COMPANY, DOE 1 "JERRY", and DOES 2-20 engaged in extreme and outrageous conduct. Each of these Defendants were a substantial factor in lowering Defendant and Cross-Plaintiff from a tree in an unsound and unsafe manner from a dangerous height, without training or reasonable measures to protect Defendant and Cross-Plaintiff’s safety. Each Plaintiff and Cross-Defendant engaged in overt acts in furtherance of a conspiracy to disrespect Defendant and Cross-Plaintiff’s human rights and exercised unlawful dominion over Defendant and Cross-Plaintiff’s person and property. DOE 1 "Jerry" injured my thumb upon the direct request of Eric Schatz when I was 200 feet high in an endangered old-growth tree. Eric Schatz & DOE 1 “Jerry” personally lowered Cross-Plaintiff from a tree in a gross and shocking manner, with calculated deliberate indifference to Cross-Plaintiff’s life, at the direction, authorization and approval of Cross-Defendant Carl Anderson who was acting at all times under the authority of Robert Manne. Robert Manne is the highest corporate officer or director of The Pacific Lumber Company and is responsible for causing employees of The Pacific Lumber Company to maintain an unconscionable level of unlawful aggression towards persons who speak out publicly against the unlawful and illegal practices of the Plaintiffs and Cross-Defendants. Some of the acts against outspoken critics of Pacific Lumber Co. by Robert Manne, include his labeling of these critics as terrorist in a post 9-11 climate, which he knew was a false accusation and would likely associate Cross-Defendant with violent acts against the United States and its citizens.
Plaintiffs and Cross-Defendants ERIC SHATZ, CARL ANDERSON, ROBERT MANNE, THE PACIFIC LUMBER COMPANY, DOE 1 "JERRY", and DOES 2-20 engaged in extreme and outrageous conduct. Each of these Defendants were a substantial factor in lowering Defendant and Cross-Plaintiff from a tree in an unsound and unsafe manner from a dangerous height, without training or reasonable measures to protect Defendant and Cross-Plaintiff’s safety. Each Plaintiff and Cross-Defendant engaged in overt acts in furtherance of a conspiracy to disrespect Defendant and Cross-Plaintiff’s human rights and exercised unlawful dominion over Defendant and Cross-Plaintiff’s person and property. DOE 1 "Jerry" injured my thumb upon the direct request of Eric Schatz when I was 200 feet high in an endangered old-growth tree. Eric Schatz & DOE 1 “Jerry” personally lowered Cross-Plaintiff from a tree in a gross and shocking manner, with calculated deliberate indifference to Cross-Plaintiff’s life, at the direction, authorization and approval of Cross-Defendant Carl Anderson who was acting at all times under the authority of Robert Manne. Robert Manne is the highest corporate officer or director of The Pacific Lumber Company and is responsible for causing employees of The Pacific Lumber Company to maintain an unconscionable level of unlawful aggression towards persons who speak out publicly against the unlawful and illegal practices of the Plaintiffs and Cross-Defendants. Some of the acts against outspoken critics of Pacific Lumber Co. by Robert Manne, include his labeling of these critics as terrorist in a post 9-11 climate, which he knew was a false accusation and would likely associate Cross-Defendant with violent acts against the United States and its citizens.
Add Your Comments
We are 100% volunteer and depend on your participation to sustain our efforts!
Get Involved
If you'd like to help with maintaining or developing the website, contact us.
Publish
Publish your stories and upcoming events on Indybay.
Topics
More
Search Indybay's Archives
Advanced Search
►
▼
IMC Network
